Publications 2015
![]() |
34. η5–η1 switch in divalent phosphaytterbocene complexes with neutral iminophosphoranyl pincer ligands: solid-state structures and solution NMR 1JYb–P coupling constants. Cheisson, T.; Auffrant, A.; Nocton, G. Organometallics 2015, 34 (22), 5470-5478. http://dx.doi.org/10.1021/acs.organomet.5b00814 |
| 33. Cobalt-catalyzed electrophilic cyanation of arylzinc halides with N-cyano-N-phenyl-p-methylbenzenesulfonamide (NCTS). Cai, Y.; Qian, X.; Rerat, A.; Auffrant, A.; Gosmini, C. Adv. Synth. Catal. 2015, 357 (16-17), 3419-3423. http://dx.doi.org/10.1002/adsc.201500245 |
|
![]() |
32. H-atom loss and migration in hydrogen-rich peptide cation radicals: The role of chemical environment. Riffet, V.; Jacquemin, D.; Frison, G. Int. J. Mass Spectrom. 2015, 390 (Supplement C), 28-38. http://doi.org/10.1016/j.ijms.2015.08.001 |
![]() |
31. Structural elucidation of metolachlor photoproducts by liquid chromatography/high-resolution tandem mass spectrometry. Nicol, E.; Genty, C.; Bouchonnet, S.; Bourcier, S. Rapid Commun. Mass Spectrom. 2015, 29 (23), 2279-2286. http://dx.doi.org/10.1002/rcm.7382 |
![]() |
30. Vibrational mode assignment of finite temperature infrared spectra using the AMOEBA polarizable force field. Thaunay, F.; Dognon, J.-P.; Ohanessian, G.; Clavaguéra, C. Phys. Chem. Chem. Phys. 2015, 17 (39), 25968-25977. http://dx.doi.org/10.1039/C5CP02270C |
![]() |
29. Hydration of the sulfate dianion in cold nanodroplets: SO42-(H2O)12 and SO42-(H2O)13. Thaunay, F.; Clavaguéra, C.; Ohanessian, G. Phys. Chem. Chem. Phys. 2015, 17 (39), 25935-25945. http://dx.doi.org/10.1039/C5CP02557E |
| 28. Combining gas phase electron capture and IRMPD action spectroscopy to probe the electronic structure of a metastable reduced organometallic complex containing a non-innocent ligand. Katari, M.; Payen de la Garanderie, É.; Nicol, E.; Steinmetz, V.; van der Rest, G.; Carmichael, D.; Frison, G. Phys. Chem. Chem. Phys. 2015, 17 (39), 25689-25692. http://dx.doi.org/10.1039/C5CP01501D |
|
![]() |
27. Lanthanide(II) complexes supported by N,O-donor tripodal ligands: synthesis, structure, and ligand-dependent redox behavior. Andrez, J.; Bozoklu, G.; Nocton, G.; Pécaut, J.; Scopelliti, R.; Dubois, L.; Mazzanti, M. Chem. Eur. J. 2015, 21 (43), 15188-15200. http://dx.doi.org/10.1002/chem.201502204 |
| 26. Microhydration of protonated Nα-acetylhistidine: a theoretical approach. Riffet, V.; Bouchoux, G.; Frison, G. J. Phys. Chem. B 2015, 119 (35), 11527-11539. http://dx.doi.org/10.1021/acs.jpcb.5b05581 |
|
![]() |
25. Gas-phase basicities of polyfunctional molecules. Part 4: Carbonyl groups as basic sites. Bouchoux, G. Mass Spectrom. Rev. 2015, 34 (5), 493-534. http://dx.doi.org/10.1002/mas.21416 |
![]() |
24. Selective and trace determination of monochloramine in river water by chemical derivatization and liquid chromatography/tandem mass spectrometry analysis. Kinani, S.; Layousse, S.; Richard, B.; Kinani, A.; Bouchonnet, S.; Thoma, A.; Sacher, F. Talanta 2015, 140 (Supplement C), 189-197. https://doi.org/10.1016/j.talanta.2015.03.043 |
![]() |
23. Isomerization of fenbuconazole under UV-visible irradiation - chemical and toxicological approaches. Lassalle, Y.; Nicol, E.; Genty, C.; Bourcier, S.; Bouchonnet, S. Rapid Commun. Mass Spectrom. 2015, 29 (14), 1335-1342. http://dx.doi.org/10.1002/rcm.7227 |
![]() |
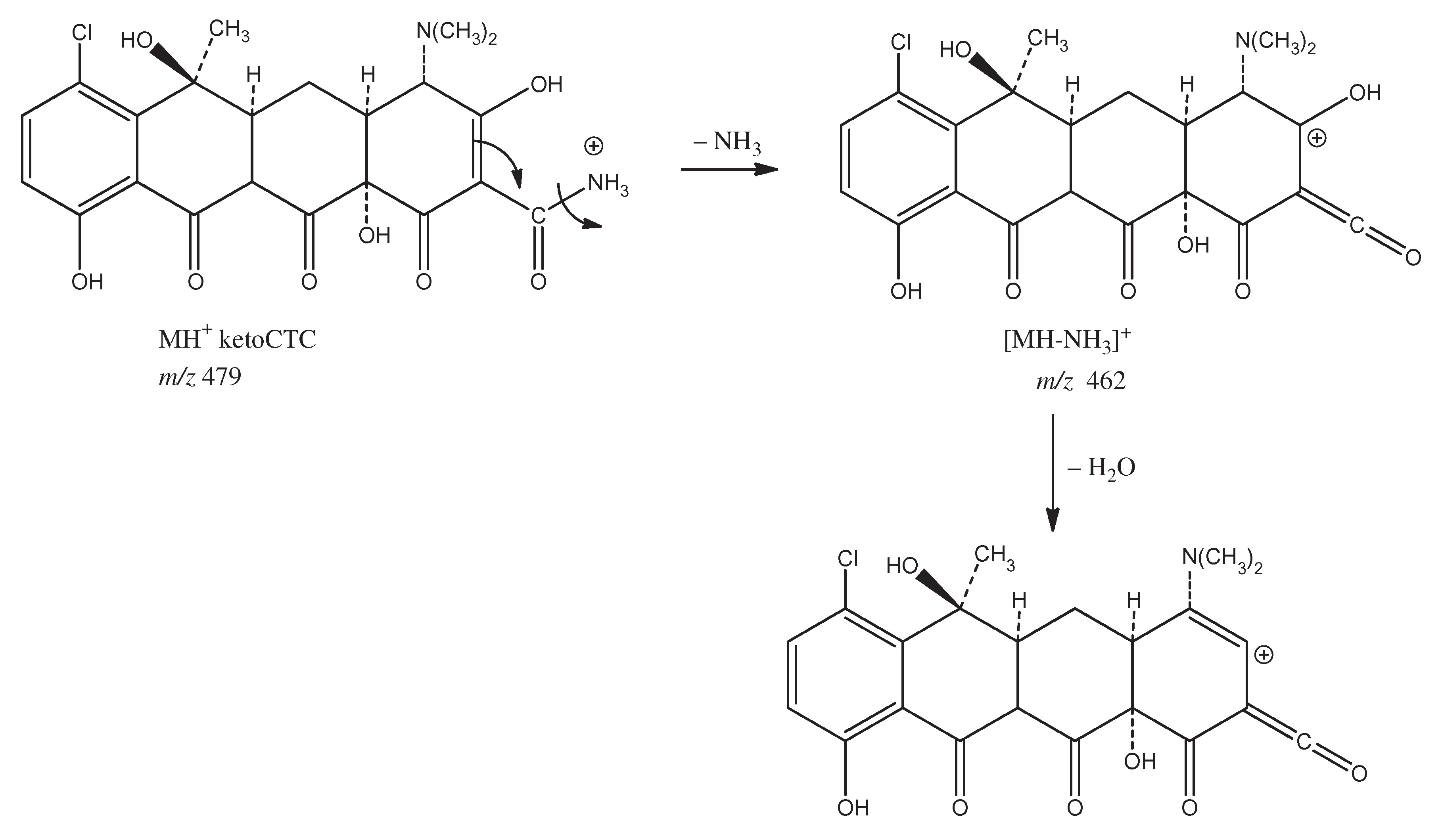
22. 6-iso-chlortetracycline or keto form of chlortetracycline? Need for clarification for relevant monitoring of chlortetracycline residues in food. Gaugain, M.; Gautier, S.; Bourcier, S.; Jacques, A.-M.; Laurentie, M.; Abjean, J.-P.; Hurtaud-Pessel, D.; Verdon, E. Food Addit. Contam. A 2015, 32 (7), 1105-1115. http://dx.doi.org/10.1080/19440049.2015.1036381 |
![]() |
21. Stabilization of an electron-unsaturated Pd(I)–Pd(I) unit by double hemichelation. Werlé, C.; Karmazin, L.; Bailly, C.; Ricard, L.; Djukic, J.-P. Organometallics 2015, 34 (12), 3055-3064. http://dx.doi.org/10.1021/acs.organomet.5b00349 |
![]() |
20. Synthesis and reactivity of tris(hydroxymethyl)phosphine-mimicking nonsymmetrical diphosphine ligands. Nijland, A.; van Zutphen, S.; Carmichael, D. Phosphorus Sulfur Silicon Relat. Elem. 2015, 190 (5-6), 720-724. http://dx.doi.org/10.1080/10426507.2014.983597 |
![]() |
19. Building a Lewis acidic phosphorus. Tay, M. Q. Y.; Lu, Y.; Ganguly, R.; Frison, G.; Ricard, L.; Vidovic, D.; Carmichael, D. Phosphorus Sulfur Silicon Relat. Elem. 2015, 190 (5-6), 785-788. http://dx.doi.org/10.1080/10426507.2014.980413 |
![]() |
18. Structural elucidation and estimation of the acute toxicity of the major UV-visible photoproduct of fludioxonil - detection in both skin and flesh samples of grape. Lassalle, Y.; Nicol, E.; Genty, C.; Bourcier, S.; Bouchonnet, S. J. Mass Spectrom. 2015, 50 (6), 864-869. http://dx.doi.org/10.1002/jms.3598 |
![]() |
17. Setting P-donor ligands into context: an application of the ligand knowledge base (LKB) approach. Fey, N.; Papadouli, S.; Pringle, P. G.; Ficks, A.; Fleming, J. T.; Higham, L. J.; Wallis, J. F.; Carmichael, D.; Mézailles, N.; Müller, C. Phosphorus Sulfur Silicon Relat. Elem. 2015, 190 (5-6), 706-714. http://dx.doi.org/10.1080/10426507.2014.983599 |
| 16. Exploiting the Brønsted acidity of phosphinecarboxamides for the synthesis of new phosphides and phosphines. Jupp, A. R.; Trott, G.; Payen de la Garanderie, É.; Holl, J. D. G.; Carmichael, D.; Goicoechea, J. M. Chem. Eur. J. 2015, 21 (22), 8015-8018. http://dx.doi.org/10.1002/chem.201501174 |
|
![]() |
15. "(Diphosphine)nickel"-catalyzed Negishi cross-coupling: an experimental and theoretical study. Nicolas, E.; Ohleier, A.; D'Accriscio, F.; Pecharman, A.-F.; Demange, M.; Ribagnac, P.; Ballester, J.; Gosmini, C.; Mezailles, N. Chem. Eur. J. 2015, 21 (21), 7690-7694. http://dx.doi.org/10.1002/chem.201500192 |
![]() |
14. Geometry flexibility of copper iodide clusters: variability in luminescence thermochromism. Benito, Q.; Le Goff, X.-F.; Nocton, G.; Fargues, A.; Garcia, A.; Berhault, A.; Kahlal, S.; Saillard, J.-Y.; Martineau, C.; Trébosc, J.; Gacoin, T.; Boilot, J.-P.; Perruchas, S. Inorg. Chem. 2015, 54 (9), 4483-4494. http://dx.doi.org/10.1021/acs.inorgchem.5b00321 |
![]() |
13. Chromium(II)-catalyzed amination of N-heterocyclic chlorides with magnesium amides. Steib, A. K.; Fernandez, S.; Kuzmina, O. M.; Corpet, M.; Gosmini, C.; Knochel, P. Synlett 2015, 26 (8), 1049-1054. http://dx.doi.org/10.1055/s-0034-1380178 |
| 12. Passerini/Tsuji-Trost strategies towards achieving lactams and cyclopentane derivatives. Cordier, M.; Dos Santos, A.; El Kaïm, L.; Narboni, N. Chem. Commun. 2015, 51 (29), 6411-6414. http://dx.doi.org/10.1039/c5cc00584a |
|
![]() |
11. Mechanochromic luminescence of copper iodide clusters. Benito, Q.; Maurin, I.; Cheisson, T.; Nocton, G.; Fargues, A.; Garcia, A.; Martineau, C.; Gacoin, T.; Boilot, J.-P.; Perruchas, S. Chem. Eur. J. 2015, 21 (15), 5892-5897. http://dx.doi.org/10.1002/chem.201500251 |
![]() |
10. Estimating π binding energy of N-Heterocyclic carbenes: The role of polarization. Rezabal, E.; Frison, G. J. Comput. Chem. 2015, 36 (8), 564-572. http://dx.doi.org/10.1002/jcc.23852 |
![]() |
9. Reversible C-C coupling in phenanthroline complexes of divalent samarium and thulium. Nocton, G.; Ricard, L. Chem. Commun. 2015, 51 (17), 3578-3581. http://dx.doi.org/10.1039/C5CC00289C |
![]() |
8. Structure and thermodynamics of Mg:phosphate interactions in water: a simulation study. Kumar, M.; Simonson, T.; Ohanessian, G.; Clavaguéra, C. ChemPhysChem 2015, 16 (3), 658-665. http://dx.doi.org/10.1002/cphc.201402685 |
| 7. Unprecedented directed lateral lithiations of tertiary carbons on NHC platforms. Danopoulos, A. A.; Braunstein, P.; Rezabal, E.; Frison, G. Chem. Commun. 2015, 51 (15), 3049-3052. http://dx.doi.org/10.1039/C4CC08434A |
|
![]() |
6. Gas-phase lithium cation affinity of glycine. Bourcier, S.; Chia, R. X.; Bimbong, R. N. B.; Bouchoux, G. Eur. J. Mass Spectrom. 2015, 21 (3), 149-159. http://dx.doi.org/10.1255/ejms.1299 |
![]() |
5. Probing the mechanisms and dynamics of gas phase hydrogen-deuterium exchange reactions of sodiated polyglycines. ![]() McMahon, T. B.; Ohanessian, G. Phys. Chem. Chem. Phys. 2015, 17 (6), 4237-4249. http://dx.doi.org/10.1039/C4CP03960B |
| 4. Electron localization in a mixed-valence diniobium benzene complex. Gianetti, T. L.; Nocton, G.; Minasian, S. G.; Kaltsoyannis, N.; Kilcoyne, A. L. D.; Kozimor, S. A.; Shuh, D. K.; Tyliszczak, T.; Bergman, R. G.; Arnold, J. Chem. Sci. 2015, 6 (2), 993-1003. http://dx.doi.org/10.1039/C4SC02705A |
|
![]() |
3. Easy and quantitative access to Fe(II) and Fe(III) di(aryl)alkynylphosphine oxides featuring Fe(dppe)Cp* endgroups: terminal P=O functionality blocks the dimerisation of the Fe(III) derivatives. |
![]() |
2. Scandium carbene complexes: synthesis of mixed alkyl, amido, and phosphido derivatives. Fustier, M.; Le Goff, X.-F.; Lutz, M.; Slootweg, J. C.; Mezailles, N. Organometallics 2015, 34 (1), 63-72. http://dx.doi.org/10.1021/om500868a |
![]() |
1. Reactivity of aromatic phosphorus heterocycles – Differences between nonfunctionalized and pyridyl-substituted 2,4,6-triarylphosphinines. |



























