Publications 2020
|
|
42. Comparison of chemical and interpretative methods: the carbon-boron π-bond as a test case. Gupta, R.; Rezabal, E.; Hasrack, G.; Frison, G. Chem. Eur. J. 2020, 26 (71), 17230-17241. https://doi.org/10.1002/chem.202001945 |
|
|
41. UV-visible photodegradation of naproxen in water – Structural elucidation of photoproducts and potential toxicity. Cazzaniga, N.; Varga, Z.; Nicol, E.; Bouchonnet, S. Eur. J. Mass Spectrom. 2020, 26 (6), 400-408. https://doi.org/10.1177/1469066720973412 |
|
|
40. Insights into the ochratoxin A/aptamer interactions on a functionalized silicon surface by Fourier transform infrared and UV–vis studies. Aschl, T.; Frison, G.; Moraillon, A.; Ozanam, F.; Allongue, P.; Gouget-Laemmel, A. C. Langmuir 2020, 36 (46), 13908-13917. https://doi.org/10.1021/acs.langmuir.0c02358 |
![]() |
39. Sequential one-pot synthesis of 3-arylbenzofurans from N-tosylhydrazones and bromophenol derivatives. Lamaa, D.; Hauguel, C.; Lin, H.-P.; Messe, E.; Gandon, V.; Alami, M.; Hamze, A. J. Org. Chem. 2020, 85 (21), 13664-13673. https://doi.org/10.1021/acs.joc.0c01835 |
![]() |
38. Cobalt-catalyzed C(sp2)–CN bond activation: cross-electrophile coupling for biaryl formation and mechanistic insight. Dorval, C.; Tricoire, M.; Begouin, J.-M.; Gandon, V.; Gosmini, C. ACS Catal. 2020, 10 (21), 12819-12827. https://doi.org/10.1021/acscatal.0c03903 |
![]() |
37. A narrow aperture detection electrodes ICR cell with quadrupolar ion detection for FT-ICR MS at the cyclotron frequency. Nagornov, K. O.; Kozhinov, A.; Nicol, E.; Tsybin, O.; Touboul, D.; Brunelle, A.; Tsybin, Y. O. J. Am. Soc. Mass Spectrom. 2020, 31 (11), 2258-2269. https://doi.org/10.1021/jasms.0c00221 |
![]() |
36. FeIII and FeII phosphasalen complexes: synthesis, characterization, and catalytic application for 2-naphtol oxidative coupling. Oheix, E.; Herrero, C.; Moutet, J.; Rebilly, J.-N.; Cordier, M.; Guillot, R.; Bourcier, S.; Banse, F.; Sénéchal-David, K.; Auffrant, A. Chem. Eur. J. 2020, 26 (60), 13634-13643. https://doi.org/10.1002/chem.202001662 |
| 35. Double annulation of ortho- and peri-C–H bonds of fused (hetero)arenes to unusual oxepino-pyridines. Shankar, M.; Rit, R. K.; Sau, S.; Mukherjee, K.; Gandon, V.; Sahoo, A. K. Chem. Sci. 2020, 11 (39), 10770-10777. http://dx.doi.org/10.1039/D0SC01373K |
|
![]() |
34. On the superior activity of In(I) versus In(III) cations towards ortho-C-alkylation of anilines and intramolecular hydroamination of alkenes. Li, Z.; Yang, S.; Thiery, G.; Gandon, V.; Bour, C. J. Org. Chem. 2020, 85 (20), 12947-12959. https://doi.org/10.1021/acs.joc.0c01585 |
| 33. Atom economical coupling of benzophenone and N-heterocyclic aromatics with SmI2. Jaoul, A.; Yang, Y.; Casaretto, N.; Clavaguéra, C.; Maron, L.; Nocton, G. Chem. Commun. 2020, 56 (79), 11875-11878. http://dx.doi.org/10.1039/D0CC05164K |
|
| 32. Alkaline-earth complexes with macrocyclic-functionalised bis(phenolate)s and bis(fluoroalkoxide)s. Hammoud, J.; Abou-Khalil, F.; Roisnel, T.; Dorcet, V.; Bour, C.; Gandon, V.; Lebœuf, D.; Carpentier, J.-F.; Sarazin, Y. Dalton Trans. 2020, 49 (37), 13017-13028. http://dx.doi.org/10.1039/D0DT02573A |
|
| 31. Exploring the limits of π-acid catalysis using strongly electrophilic main group metal complexes: the case of zinc and aluminum. Tian, J.; Chen, Y.; Vayer, M.; Djurovic, A.; Guillot, R.; Guermazi, R.; Dagorne, S.; Bour, C.; Gandon, V. Chem. Eur. J. 2020, 26 (56), 12831-12838. https://doi.org/10.1002/chem.202001376 |
|
![]() |
30. How to select relevant metabolites based on available data for parent molecules: Case of neonicotinoids, carbamates, phenylpyrazoles and organophosphorus compounds in French water resources. Melin, J.; Guillon, A.; Enault, J.; Esperanza, M.; Dauchy, X.; Bouchonnet, S. Environ. Pollut. 2020, 265, 114992. https://doi.org/10.1016/j.envpol.2020.114992 |
![]() |
29. Combining theory and experiment to get insight into the amorphous phase of luminescent mechanochromic copper iodide clusters. Utrera-Melero, R.; Huitorel, B.; Cordier, M.; Mevellec, J.-Y.; Massuyeau, F.; Latouche, C.; Martineau-Corcos, C.; Perruchas, S. Inorg. Chem. 2020, 59 (18), 13607-13620. https://doi.org/10.1021/acs.inorgchem.0c01967 |
![]() |
28. Lewis acid/hexafluoroisopropanol: a promoter system for selective ortho-C-alkylation of anilines with deactivated styrene derivatives and unactivated alkenes. Wang, S.; Force, G.; Guillot, R.; Carpentier, J.-F.; Sarazin, Y.; Bour, C.; Gandon, V.; Leboeuf, D. ACS Catal. 2020, 10 (18), 10794-10802. https://doi.org/10.1021/acscatal.0c02959 |
![]() |
27. Solvent effect in gold(I)-catalyzed domino reaction: access to furopyrans. Wagner, P.; Ghosh, N.; Gandon, V.; Blond, G. Org. Lett. 2020, 22 (18), 7333-7337. https://doi.org/10.1021/acs.orglett.0c02663 |
![]() |
26. Traversing the red-green-blue color spectrum in rationally designed cupredoxins. Koebke, K. J.; Sosa Alfaro, V.; Pinter, T. B. J.; Deb, A.; Lehnert, N.; Tard, C.; Penner-Hahn, J. E.; Pecoraro, V. L. J. Am. Chem. Soc. 2020, 142 (36), 15282-15294. https://doi.org/10.1021/jacs.0c04757 |
![]() |
25. Exploring the versatility of 7-alkynylcycloheptatriene scaffolds under π-acid catalysis. Vayer, M.; Bour, C.; Gandon, V. Eur. J. Org. Chem. 2020, 2020 (33), 5350-5357. https://doi.org/10.1002/ejoc.202000623 |
| 24. Aza-piancatelli cyclization as a platform for the preparation of scaffolds of natural compounds: application to the total synthesis of bruceolline D. Marin, L.; Force, G.; Gandon, V.; Schulz, E.; Lebœuf, D. Eur. J. Org. Chem. 2020, 2020 (33), 5323-5328. https://doi.org/10.1002/ejoc.202000849 |
|
| 23. Can an elusive Pt(III) oxidation state be exposed in an isolated complex? Corinti, D.; Frison, G.; Chiavarino, B.; Gabano, E.; Osella, D.; Crestoni, M. E.; Fornarini, S. Angew. Chem. Int. Ed. 2020, 59 (36), 15595-15598. https://doi.org/10.1002/anie.202007597 |
|
![]() |
22. Enantioselective gold(I)-catalyzed cyclization / intermolecular nucleophilic additions of 1,5-enyne derivatives. Han, X.; Retailleau, P.; Gandon, V.; Voituriez, A. Chem. Commun. 2020, 56 (66), 9457-9460. http://dx.doi.org/10.1039/D0CC00914H |
| 21. Regio- and diastereoselective Pd-catalyzed synthesis of C2-aryl glycosides. Ghouilem, J.; Franco, R.; Retailleau, P.; Alami, M.; Gandon, V.; Messaoudi, S. Chem. Commun. 2020, 56 (52), 7175-7178. http://dx.doi.org/10.1039/D0CC02175J |
|
![]() |
20. Keteniminium-driven umpolung difunctionalization of ynamides. Dutta, S.; Yang, S.; Vanjari, R.; Mallick, R. K.; Gandon, V.; Sahoo, A. K. Angew. Chem. Int. Ed. 2020, 59 (27), 10785-10790. https://doi.org/10.1002/anie.201915522 |
| 19. Bimolecular vinylation of arenes by vinyl cations. Li, Z.; Gandon, V.; Bour, C. Chem. Commun. 2020, 56 (48), 6507-6510. http://dx.doi.org/10.1039/D0CC02300K |
|
| 18. Phosphasalen group IV metal complexes: synthesis, characterization and ring opening polymerization of lactide. Normand, A. T.; Malacea-Kabbara, R.; Lapenta, R.; Dajnak, A.; Richard, P.; Cattey, H.; Bolley, A.; Grassi, A.; Milione, S.; Auffrant, A.; Dagorne, S.; Le Gendre, P. Dalton Trans. 2020, 49 (21), 6989-7004. http://dx.doi.org/10.1039/D0DT00972E |
|
| 17. Laboratory scale UV–visible degradation of acetamiprid in aqueous marketed mixtures - Structural elucidation of photoproducts and toxicological consequences. Nicol, E.; Varga, Z.; Vujovic, S.; Bouchonnet, S. Chemosphere 2020, 248, 126040. https://doi.org/10.1016/j.chemosphere.2020.126040 |
|
![]() |
16. [(dcpp)Ni(η2-arene)] precursors: synthesis, reactivity, and catalytic application to the Suzuki–Miyaura reaction. D’Accriscio, F.; Ohleier, A.; Nicolas, E.; Demange, M.; Thillaye Du Boullay, O.; Saffon-Merceron, N.; Fustier-Boutignon, M.; Rezabal, E.; Frison, G.; Nebra, N.; Mézailles, N. Organometallics 2020, 39 (10), 1688-1699. https://doi.org/10.1021/acs.organomet.9b00834 |
![]() |
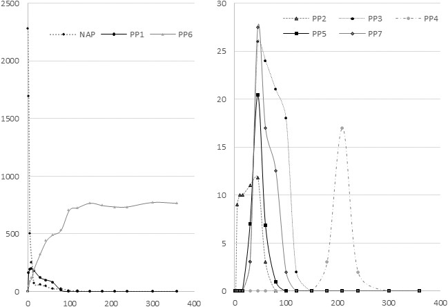
15. Is it possible to measure monobromamine using colorimetric methods based on the Berthelot reaction, like for monochloramine? Roumiguières, A.; Bouchonnet, S.; Kinani, S. Analytica 2020, 1 (1), 1-11. https://doi.org/10.3390/analytica1010001 |
![]() |
14. Tridentate NNN ligand associating amidoquinoline and iminophosphorane: synthesis and coordination to Pd and Ni centers. Mazaud, L.; Tricoire, M.; Bourcier, S.; Cordier, M.; Gandon, V.; Auffrant, A. Organometallics 2020, 39 (5), 719-728. https://doi.org/10.1021/acs.organomet.9b00867 |
![]() |
13. Base-assisted intramolecular C–N coupling reaction from NH2-bound cyclopalladated L-phenylalanine to indoline-2-carboxylic acid. Jacquin-Labarre, A.; Coufourier, S.; Tamion, R.; Le Foll, A.; Levacher, V.; Afonso, C.; Gandon, V.; Journot, G.; Brière, J.-F.; Hoarau, C. Organometallics 2020, 39 (5), 767-773. https://doi.org/10.1021/acs.organomet.0c00030 |
![]() |
12. Superelectrophilic gallium(III) homodimers in gallium chloride mediated methylation of benzene: a theoretical study. Yang, S.; Bour, C.; Gandon, V. ACS Catal. 2020, 10 (5), 3027-3033. https://doi.org/10.1021/acscatal.9b05509 |
![]() |
11. Tethered counterion-directed catalysis: merging the chiral ion-pairing and bifunctional ligand strategies in enantioselective gold(I) catalysis. Zhang, Z.; Smal, V.; Retailleau, P.; Voituriez, A.; Frison, G.; Marinetti, A.; Guinchard, X. J. Am. Chem. Soc. 2020, 142 (8), 3797-3805. https://doi.org/10.1021/jacs.9b11154 |
| 10. An unconventional sulfur-to-selenium-to-carbon radical transfer: chemo-and regioselective cyclization of yne-ynamides. Dutta, S.; Prabagar, B.; Vanjari, R.; Gandon, V.; Sahoo, A. K. Green Chem. 2020, 22 (4), 1113-1118. http://dx.doi.org/10.1039/C9GC03745D |
|
![]() |
9. Cryo-EM study of an archaeal 30S initiation complex gives insights into evolution of translation initiation. Coureux, P.-D.; Lazennec-Schurdevin, C.; Bourcier, S.; Mechulam, Y.; Schmitt, E. Commun. Biol. 2020, 3 (1), 58. https://doi.org/10.1038/s42003-020-0780-0 |
![]() |
8. Photodegradation of benzisothiazolinone: Identification and biological activity of degradation products. Varga, Z.; Nicol, E.; Bouchonnet, S. Chemosphere 2020, 240, 124862. https://doi.org/10.1016/j.chemosphere.2019.124862 |
![]() |
7. Aerosol synthesis of thermally stable porous noble metals and alloys by using bi-functional templates. Odziomek, M.; Bahri, M.; Boissière, C.; Sanchez, C.; Lassalle-Kaiser, B.; Zitolo, A.; Ersen, O.; Nowak, S.; Tard, C.; Giraud, M.; Faustini, F.; Peron, J. Mater. Horiz. 2020, 7 (2), 541-550. http://dx.doi.org/10.1039/C9MH01408J |
![]() |
6. Use of β3-methionine as an amino acid substrate of Escherichia coli methionyl-tRNA synthetase. Nigro, G.; Bourcier, S.; Lazennec-Schurdevin, C.; Schmitt, E.; Marlière, P.; Mechulam, Y. J. Struct. Biol. 2020, 209 (2), 107435. https://doi.org/10.1016/j.jsb.2019.107435 |
![]() |
5. Formal [8+3]-annulation between azaoxyallyl cations and tropones. Force, G.; Pérot, A.; Guillot, R.; Gandon, V.; Leboeuf, D. Synthesis 2020, 52 (04), 553-564. http://dx.doi.org/10.1055/s-0039-1690745 |
![]() |
4. Enantioselective synthesis of complex fused heterocycles through chiral phosphoric acid catalyzed intramolecular inverse-electron-demand aza-Diels–Alder reactions. Jarrige, L.; Gandon, V.; Masson, G. Chem. Eur. J. 2020, 26 (6), 1406-1413. https://doi.org/10.1002/chem.201904902 |
![]() |
3. Enantioselective total synthesis of cymoside through a bioinspired oxidative cyclization of a strictosidine derivative. Dou, Y.; Kouklovsky, C.; Gandon, V.; Vincent, G. Angew. Chem. Int. Ed. 2020, 59 (4), 1527-1531. https://doi.org/10.1002/anie.201912812 |
![]() |
2. Rational de novo design of a Cu-metalloenzyme for superoxide dismutation. |
![]() |
1. Tracking monochloramine decomposition in MIMS analysis. Roumiguières, A.; Kinani, S.; Bouchonnet, S. Sensors 2020, 20 (1), 241. https://doi.org/10.3390/s20010247 |






























