Partager

Publications 2018

46. Empirical estimation of the molecular weight of gold complexes in solution by pulsed-field gradient NMR.
Hamdoun, G.; Bour, C.; Gandon, V.; Dumez, J.-N.
Organometallics 2018, 37 (24), 4692-4698.
https://doi.org/10.1021/acs.organomet.8b00709
45. Gold-catalyzed syn-1,2-difunctionalization of ynamides via nitrile activation.
Vanjari, R.; Dutta, S.; Gogoi, M. P.; Gandon, V.; Sahoo, A. K.
Org. Lett. 2018, 20 (24), 8077-8081.
https://doi.org/10.1021/acs.orglett.8b03830
44. Luminescence vapochromism of a dynamic copper iodide mesocate.
Perruchas, S.; Benito, Q.; El Moll, H.; Balogh, C.; Gacoin, T.; Cordier, M.; Rakhmatullin, A.; Latouche, C.; Martineau-Corcos, C.
Chem. Eur. J. 2018, 24 (71), 18868-18872.
http://dx.doi.org/10.1002/chem.201804377
43. Development and validation of a multiclass method for the determination of organohalogen disinfectant by-products in water samples using solid phase extraction and gas chromatography-tandem mass spectrometry.
Roumiguières, A.; Kinani, A.; Bouchonnet, S.; Kinani, S.
J. Chromatogr. A 2018, 1579, 89-98.
http://dx.doi.org/10.1016/j.chroma.2018.10.016
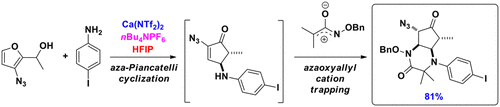
42. Synthesis of cyclopenta[b]piperazinones via an azaoxyallyl cation.
Baldé, B.; Force, G.; Marin, L.; Guillot, R.; Schulz, E.; Gandon, V.; Lebœuf, D.
Org. Lett. 2018, 20 (23), 7405-7409.
https://doi.org/10.1021/acs.orglett.8b03103
41. Iodine-catalyzed iso-nazarov cyclization of conjugated dienals for the synthesis of 2-cyclopentenones.
Marsili, L. A.; Pergomet, J. L.; Gandon, V.; Riveira, M. J.
Org. Lett. 2018, 20 (22), 7298-7303.
https://doi.org/10.1021/acs.orglett.8b03229
40. Multifaceted study on a cytochalasin scaffold: lessons on reactivity, multidentate catalysis and anticancer properties.
Zaghouani, M.; Gayraud, O.; Jactel, V.; Prévost, S.; Dezaire, A.; Sabbah, M.; Escargueil, A.; Lai, T.-L.; Le Clainche, C.; Rocques, N.; Romero, S.; Gautreau, A.; Blanchard, F.; Frison, G.; Nay, B.
Chem. Eur. J. 2018, 24 (64), 16686-16691.
http://dx.doi.org/10.1002/chem.201804023
39. Ruthenium complexes featuring cooperative phosphine–pyridine–iminophosphorane (PNN) ligands: synthesis, reactivity and catalytic activity.
Cheisson, T.; Mazaud, L.; Auffrant, A.
Dalton Trans. 2018, 47 (41), 14521-14530.
http://dx.doi.org/10.1039/C8DT03488E
38. Gallium-catalyzed scriabine reaction.
Pareek, M.; Bour, C.; Gandon, V.
Org. Lett. 2018, 20 (21), 6957-6960.
https://doi.org/10.1021/acs.orglett.8b03104
37. Lanthanidocenes: synthesis, structure and bonding of linear sandwich complexes of lanthanides.
Xémard, M.; Zimmer, S.; Cordier, M.; Goudy, V.; Ricard, L.; Clavaguéra, C.; Nocton, G.
J. Am. Chem. Soc. 2018140 (43), 14433-14439.
https://doi.org/10.1021/jacs.8b09081
36. Iron and cobalt metallotropism in remote-substituted NHC ligands, metallation to abnormal NHC complexes or NHC ring opening.
Danopoulos, A. A.; Massard, A.; Frison, G.; Braunstein, P.
Angew. Chem. Int. Ed. 2018, 57 (44), 14550-14554.
http://dx.doi.org/10.1002/anie.201808008
35. Calcium(II)-catalyzed intermolecular hydroarylation of deactivated styrenes in hexafluoroisopropanol.
Qi, C.; Gandon, V.; Leboeuf, D.
Angew. Chem. Int. Ed. 2018, 57 (43), 14245-14249.
http://dx.doi.org/10.1002/anie.201809470
34. Spectroscopy and photodissociation of the perfluorooctanoate anion.
Douix, S.; Dossmann, H.; Nicol, E.; Duflot, D.; Giuliani, A.
Chem. Eur. J. 2018, 24 (58), 15572-15576.
https://dx.doi.org/10.1002/chem.201801997
33. Clarifying the copper coordination environment in a de novo designed red copper protein.
Koebke, K. J.; Ruckthong, L.; Meagher, J. L.; Mathieu, E.; Harland, J.; Deb, A.; Lehnert, N.; Policar, C.; Tard, C.; Penner-Hahn, J. E.; Stuckey, J. A.; Pecoraro, V. L.
Inorg. Chem. 2018, 57 (19), 12291-12302.
https://doi.org/10.1021/acs.inorgchem.8b01989
32. A sensitive and specific solid-phase extraction–gas chromatography–tandem mass spectrometry method for the determination of 11 haloacetic acids in aqueous samples.
Kinani, A.; Olivier, J.; Roumiguières, A.; Bouchonnet, S.; Kinani, S.
Eur. J. Mass Spectrom. 2018, 24 (5), 375-383.
http://dx.doi.org/10.1177/1469066718781302

31. A heptanuclear copper iodide nanocluster.
El Moll, H.; Cordier, M.; Nocton, G.; Massuyeau, F.; Latouche, C.; Martineau-Corcos, C.; Perruchas, S.
Inorg. Chem. 2018, 57 (19), 11961-11969.
https://doi.org/10.1021/acs.inorgchem.8b01516

30. 1,3-Dipolar cycloadditions with azomethine ylide species generated from aminocyclopropanes.
Wolan, A.; Kowalska-Six, J. A.; Rajerison, H.; Césario, M.; Cordier, M.; Six, Y.
Tetrahedron 2018, 74 (38), 5248-5257.
https://doi.org/10.1016/j.tet.2018.05.082
29. Molecular characterization of cloud water samples collected at the Puy de Dôme (France) by Fourier transform ion cyclotron resonance mass spectrometry.
Bianco, A.; Deguillaume, L.; Vaïtilingom, M.; Nicol, E.; Baray, J.-L.; Chaumerliac, N.; Bridoux, M. C.
Environ. Sci. Technol. 2018, 52 (18), 10275-10285.
https://doi.org/10.1021/acs.est.8b01964
28. Ligand “noninnocence” in coordination complexes vs. kinetic, mechanistic, and selectivity issues in electrochemical catalysis.
Costentin, C.; Savéant, J.-M.; Tard, C.
Proc. Natl. Acad. Sci. U. S. A. 2018, 115 (37), 9104-9109.
http://dx.doi.org/10.1073/pnas.1810255115
27. Palladium(II)-catalyzed diastereoselective 2,3-trans C(sp3)-H arylation of glycosides.
Probst, N. P.; Grelier, G.; Dahaoui, S.; Alami, M.; Gandon, V.; Messaoudi, S.
ACS Catal. 2018, 8 (9), 7781-7786.
https://doi.org/10.1021/acscatal.8b01617
26. Phenylacetylene and carbon dioxide activation by an organometallic samarium complex.
Goudy, V.; Xémard, M.; Karleskind, S.; Cordier, M.; Alvarez Lamsfus, C.; Maron, L.; Nocton, G.
Inorganics 2018, 6 (3), 82.
http://dx.doi.org/10.3390/inorganics6030082
25. Metal-free deamidative Ugi access to isoindolinones.
Baaziz, S.; Kerim, M. D.; Cordier, M.; Hammal, L.; El Kaïm, L.
Synlett 2018, 29 (14), 1842-1846.
http://dx.doi.org/10.1055/s-0037-1610189
24. Cobalt‐catalyzed formation of functionalized diarylmethanes from benzylmesylates and aryl halides.
Reddy, R. P. B.; Chowdhury, S.; Auffrant, A.; Gosmini, C.
Adv. Synth. Catal. 2018, 360 (16), 3026-3029.
http://dx.doi.org/10.1002/adsc.201800468
23. Synthesis and reactivity of low-valent f-element iodide complexes with neutral iminophosphorane ligands.
Cheisson, T.; Ricard, L.; Heinemann, F. W.; Meyer, K.; Auffrant, A.; Nocton, G.
Inorg. Chem. 2018, 57 (15), 9230-9240.
https://doi.org/10.1021/acs.inorgchem.8b01259
22. Small molecules activation with divalent samarium triflate: a synergistic effort to cleave O2.
Xémard, M.; Cordier, M.; Louyriac, E.; Maron, L.; Clavaguera, C.; Nocton, G.
Dalton Trans. 2018, 47 (28), 9226-9230.
http://dx.doi.org/10.1039/C8DT02196A
21. Cerium tetrakis(tropolonate) and cerium tetrakis(acetylacetonate) are not diamagnetic but temperature-Independent paramagnets.
Halbach, R. L.; Nocton, G.; Booth, C. H.; Maron, L.; Andersen, R. A.
Inorg. Chem. 2018, 57 (12), 7290-7298.
https://doi.org/10.1021/acs.inorgchem.8b00928
20. Cobalt-catalyzed formation of 2-pyridylzinc reagents and their subsequent coupling.
Linke, S.; Manolikakès, S. M.; Auffrant, A.; Gosmini, C.
Synthesis 2018, 50 (13), 2595-2600.
http://dx.doi.org/10.1055/s-0037-1609730
19. Gas phase basicities of polyfunctional molecules. Part 6: Cyanides and isocyanides.
Bouchoux, G.
Mass Spectrom. Rev. 2018, 37 (4), 533-564.
http://dx.doi.org/10.1002/mas.21538
18. UV‐visible phototransformation of dehydroacetic acid: structural characterization of photoproducts and global ecotoxicity.
De Vaugelade, S.; Nicol, E.; Vijovic, S.; Bourcier, S.; Pirnay, S.; Bouchonnet, S.
Rapid Commun. Mass Spectrom. 2018, 32 (11), 862-870.
http://dx.doi.org/10.1002/rcm.8104
17. pH-dependence on HER electrocatalytic activity of iron sulfide pyrite nanoparticles.
Villalba, M.; Peron, J.; Giraud, M.; Tard, C.
Electrochem. Comm. 2018, 91, 10-14.
https://doi.org/10.1016/j.elecom.2018.04.019
16. Propargylation of Ugi amide dianion: an entry into pyrrolidinone and benzoindolizidine alkaloid analogues.
Zidan, A.; Cordier, M.; El-Naggar, A. M.; Abd El-Sattar, N. E. A.; Hassan, M. A.; Ali, A. K.; El Kaïm, L.
Org. Lett. 2018, 20 (9), 2568–2571.
https://doi.org/10.1021/acs.orglett.8b00687
15. Development of a rubredoxin-type center embedded in a de novo designed three-helix bundle.
Tebo, A.; Pinter, T. B. J.; García-Serres, R.; Speelman, A. L.; Tard, C. d.; Sénèque, O.; Blondin, G.; Latour, J.-M.; Penner-Hahn, J. E.; Lehnert, N.; Pecoraro, V. L.
Biochemistry 2018, 57 (16), 2308-2316.
https://doi.org/10.1021/acs.biochem.8b00091
14. Phosphasalen vs. salen ligands: what does the phosphorus change?
Mustieles Marín, I.; Auffrant, A.
Eur. J. Inorg. Chem. 2018, 2018 (15), 1634-1644.
http://dx.doi.org/10.1002/ejic.201701210
13. (3 + 3) cycloaddition of oxyallyl cations with nitrones: diastereoselective access to 1,2-oxazinanes.
Cordier, M.; Archambeau, A.
Org. Lett. 2018, 20 (8), 2265-2268.
https://doi.org/10.1021/acs.orglett.8b00617
12. Evaluation of ligands effect on the photophysical properties of copper iodide clusters.
Huitorel, B.; El Moll, H.; Utrera-Melero, R.; Cordier, M.; Fargues, A.; Garcia, A.; Massuyeau, F.; Martineau-Corcos, C.; Fayon, F.; Rakhmatullin, A.; Kahlal, S.; Saillard, J.-Y.; Gacoin, T.; Perruchas, S.
Inorg. Chem. 2018, 57 (8), 4328-4339.
https://doi.org/10.1021/acs.inorgchem.7b03160
11. Iron-catalyzed reductive ethylation of imines with ethanol.
Vayer, M.; Morcillo, S. P.; Dupont, J.; Gandon, V.; Bour, C.
Angew. Chem. Int. Ed. 2018, 57 (12), 3228-3232.
http://dx.doi.org/10.1002/anie.201800328
10. Catalysis of CO2 electrochemical reduction by protonated pyridine and similar molecules. Useful lessons from a methodological misadventure.
Costentin, C.; Savéant, J.-M.; Tard, C.
ACS Energy Lett. 2018, 3 (3), 695–703.
https://doi.org/10.1021/acsenergylett.8b00008
9. Calcium(II)-catalyzed intra- and intermolecular hydroamidation of unactivated alkenes in hexafluoroisopropanol.
Qi, C.; Hasenmaile, F.; Gandon, V.; Lebœuf, D.
ACS Catal. 2018, 8 (3), 1734-1739.
https://doi.org/10.1021/acscatal.7b04271
8. Revised theoretical model on enantiocontrol in phosphoric acid catalyzed H-transfer hydrogenation of quinoline.
Pastor, J.; Rezabal, E.; Voituriez, A.; Betzer, J.-F.; Marinetti, A.; Frison, G.
J. Org. Chem. 2018, 83 (5), 2779-2787.
https://doi.org/10.1021/acs.joc.7b03248
7. Determination of adsorbable organic halogens in surface water samples by combustion–microcoulometry versus combustion–ion chromatography titration.
Kinani, A.; Sa​lhi, H.; Bouchonnet, S.; Kinani, S.
J. Chromatogr. A 2018, 1539, 41-52.
https://doi.org/10.1016/j.chroma.2018.01.045
6. Gas phase basicities of polyfunctional molecules. Part 5: Non‐aromatic sp2 nitrogen containing compounds.
Bouchoux, G.; Eckert‐Maksic, M.
Mass Spectrom. Rev. 2018, 37 (2), 139-170.
http://dx.doi.org/10.1002/mas.21511
5. Synthesis by a cost-effective method and electroluminescence of a novel eficient yellowish-green thermally activated delayed fluorescent molecule.
Marghad, I.; Kim, D. H.; Tian, X.; Mathevet, F.; Gosmini, C.; Ribierre, J.-C.; Adachi, C.
ACS Omega 2018, 3 (2), 2254-2260.
https://doi.org/10.1021/acsomega.7b01570
4. Quantum-chemical modeling of the first steps of the Strecker synthesis: from the gas-phase to water solvation.
Riffet, V.; Frison, G.; Bouchoux, G.
J. Phys. Chem. A 2018, 122 (6), 1643-1657.
https://doi.org/10.1021/acs.jpca.7b10534
3. Strategy for modeling the infrared spectra of ion-containing water drops.
Thaunay, F.; Jana, C.; Clavaguéra, C.; Ohanessian, G.
J. Phys. Chem. A 2018, 122 (3), 832-842.
http://dx.doi.org/10.1021/acs.jpca.7b10554
2. Synthesis, structure and characterization of a hybrid centrosymmetric material (4-dimethylaminopyridinium nitrate gallic acid monohydrate) well-designed for non-linear optics.
Ennaceur, N.; Jalel, B.; Henchiri, R.; Cordier, M.; Ledoux-Rak, I.
J. Mol. Struct. 2018, 1151, 126-134.
https://doi.org/10.1016/j.molstruc.2017.08.105

1. Grignard reagents and cobalt.
Rérat, A.; Gosmini, C.
Phys. Sci. Rev. 2018, 3 (1).
http://dx.doi.org/10.1515/psr-2016-0021